Denní graf EURUSD
Máme za námi další den konsolidace bez důležitějších ekonomických reportů, které by trhu dodaly dostatečné množství energie potřebné k proražení ze současného cenového pásma. USD uzavřel smíšeně: oproti evropským měnám mírně posiloval a oproti komoditním měnám oslabil. 
 Podobná situace panovala na akciových trzích. Roční výročí z minima z minulého roku trh oslavil růstem, ke konci dne však Dow i SP500 oslaboval a ukončil jen těsně v pozitivním teritoriu. Dow i SP má velmi blízko k vytvoření dvojitého stropu, proto bude středeční obchodování velmi důležité. Jestliže akcie dokáží prorazit rezistanci z ledna, tak lze očekávat další nárůst chuti riskovat, což by mělo poslat USD i nižším hodnotám. Neschopnost prorazit lednová maxima by ale znamenala nižší akciové indexy, averzi k riziku a s tím spojený vyšší USD. To, že akciový trh nebyl schopen udržet zisky naznačuje, že druhá varianta, tedy výprodej akcií, je pravděpodobnější. Navíc, ani ve středu neočekávame žádné důležitější zprávy z USA.  Nedostatek nových impulsů k nákupům akcií tak dále podporuje tezi o nižších budoucích hodnotách akciového trhu.
 Za posledních několik dní sílí spekulace o dalším skokovém posílení čínského Yuanu. Kdo si pamatuje léto 2005, jistě si vzpomene na šok, který způsobilo neočekávané rozhodnutí čínské PBOC (čínská centrální banka - People's Bank of China) skokově zesílit Yuan o 5% a umožnit další regulované posilňování (tuším, že Yuan v té době mohl posilovat o 0.3% denně). Guvernér PBOC dnes dokonce uvedl, že ,,doba pro specialní politiku pro oceňování Yuanu jsou sečteny".  Přečíst si článek v novinách o něčem jiném než jen o problémech Řecka tak bylo příjemným zpestřením dne...
 Situace na USDCAD se zatím vyvíjí dobře. Cena dnes dosáhla minima na 1.0234 a zasílila tím support. Jesti se cena udrží nad 1.0230 i po několik dalších dní, šance, že dojde na trojité dno se zvýší, stejně jako pravděpodobnost úspěchu USDCAD long. Uvidíme jak se vyvinou zítřejší zásoby ropy. Očekává se vzrůst o 1.9 milionu barelů, což by mohlo mít negativní dopad na cenu ropy a tím pozitivní dopad na vývoj USDCAD.
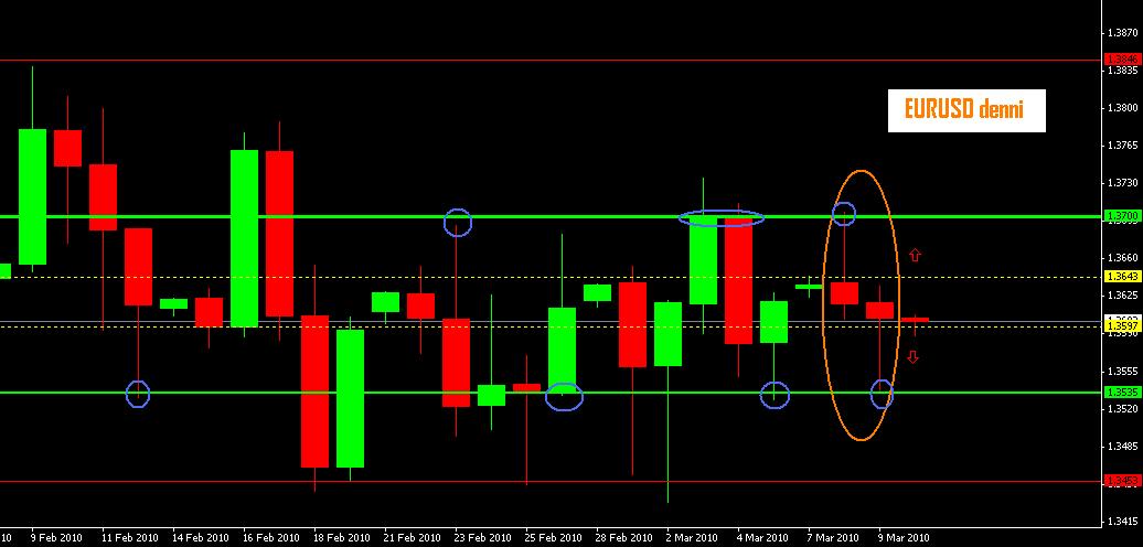
 Jelikož se situace na denních grafech moc nezměnila, rád bych poukázal na zajímavou formaci na EURUSD (na USDCHF je stejná, ale samozřejmě opačným směrem). Pondělní cena dosáhla vysokých hodnot a poté uzavřela na hodnotách nízkých. Pondělní svíčka tedy vypadá, že by cena v úterý měla pokračovat na cestě dolů. Cena dolů skutečně zamířila, ale nebyla schopna na nízkých hodnotách zůstat. Uzavřela blízko svých otevírajících hodnot. Úterní svíčka tedy naznačuje vyšší hodnoty. Máme tedy jednu bearish svíčku a druhou bullish svíčku. Tato formace se dá obchodovat vložením buy stop příkazu těsně nad včerejší maximum a vložením sell stop příkazu těsně pod předvčerejší minimum. Máme tedy dva čekající příkazy, které zároveň vyplní funkci SL. Cílem jsou zelené S/R hladiny, na kterých se vyplatí uzavřít část pozice a posunout SL na BE.  Uzavření denní svíce nad 3700 by bylo důležitým bullish signálem, uzavření denní svíce pod 3500 by bylo předzvěstí proražení konsolidace a návratu k bearish trendu.
 Patrik Urban
Čtěte více
- 
				Denní analýza pro EUR/USD a zlato 7.4.2023
				
 EUR/USD: Tento měnový pár na denním grafu konsoliduje zisky a nenaznačuje riziko většího poklesu. Jsme nad rostoucími klouzavými průměry, SMA 20 roste nad SMA 100 i SMA 200 a je dynamickým supportem kolem 1,0790. Technické indikátory ztratily býčí momentum, momentový indikátor klesá v pozitivní zóně, RSI míří do strany. Na 4hodinovém grafu se kupci snaží získat převahu. Technické indikátory se opět stáčí vzhůru kolem neutrální linie. Cena je kolem rostoucího SMA 20, SMA 100 i SMA 200 rostou daleko pod ním.
- 
				Denní analýza pro EUR/USD a zlato 7.6.2023
				
 EUR/USD: Tento měnový pár je na denním grafu ve spodní části svého rozpětí a medvědí nálada trvá. Jsme pod klesajícím klouzavým průměrem SMA 20, který dále klesá pod neutrálním SMA 100. Oba jsou nad důležitou hladinou 61,8 % Fibonacciho retracementu (1,0745). Technické indikátory jsou v negativní zóně, RSI klesá, momentový indikátor míří do strany. Na 4hodinovém grafu je nastavení jasně medvědí. Jsme pod neutrálním SMA 20, SMA 100 i SMA 200 klesají daleko nad ním. Technické indikátory klesají u přeprodané zóny, což značí další možný pokles. Důležitý support je minimum na 1,0634 a jeho prolomení by otevřelo cestu k hladině 1,0550.
- 
				Denní analýza pro EUR/USD a zlato 8.6.2023
				
 EUR/USD: Tento měnový pár je na denním grafu od začátku týdne v pásmu 1,0660 – 1,0730. U hladiny 61,8 % Fibonacciho retracementu (1,0745) se objevují prodejci. Dokud jsme pod touto hladinou, tak je očekávání medvědí. Technické indikátory potvrzují konsolidaci a riziko poklesu. Klouzavý průměr SMA 20 klesá pod neutrálním SMA 100, oba jsou nad zmíněnou Fibonacciho rezistencí. Technické indikátory mírně rostou v negativní zóně a naznačují slabý zájem kupců. Na 4hodinovém grafu je nastavení neutrální. Jsme kolem mírně klesajícího SMA 20, SMA 100 i SMA 200 klesají daleko nad ním. Technické indikátory rostou do pozitivní oblasti, ale nenaznačují další posílení. Jasné proražení nad 1,0745 by dalo kupcům naději, zatímco prodejci by získali jasnou převahu po prolomení minima na 1,0634.
- 
				Denní analýza pro EUR/USD a zlato 9.3.2023
				
 EUR/USD: Tento měnový pár na denním grafu konsoliduje u včerejších minim. Očekávání je medvědí. Jsme pod klesajícím klouzavým průměrem SMA 20 a blízko rostoucího SMA 100, který je u hladiny 50 % Fibonacciho retracementu na 1,0515, což je nejbližší support. Technické indikátory jsou v negativní zóně bez potvrzení dalšího poklesu. Na 4hodinovém grafu je očekávání medvědí. Jsme pod klouzavými průměry. SMA 20 klesá pod SMA 100 i SMA 200. Technické indikátory jsou v negativní zóně. Po prolomení oblasti 1,0515 bychom mohli oslabit k supportu 1,0390 – 1,0420.
- 
				Denní analýza pro EUR/USD a zlato 9.6.2023
				
 EUR/USD: Tento měnový pár je na denním grafu tento týden bez velkých změn a obchoduje se těsně nad hladinou 61,8 % Fibonacciho retracementu (1,0745). Býčí momentum je omezené, technické indikátory jsou v negativní zóně, RSI ale míří vzhůru. Klesající klouzavý průměr SMA 20 klesá pod neutrálním SMA 100 a je na 1,0760. Proražení této oblasti by mohlo aktivovat kupce. Na 4hodinovém grafu je očekávání spíše býčí, zvláště po překonání oblasti 1,0760. Technické indikátory jsou již v pozitivní oblasti. Kupci se objevili kolem rostoucího SMA 20, který je nad klesajícím SMA 100.
- 
				Denní analýza pro EUR/USD 15.2.2023
				
 EUR/USD: Tento měnový pár je na denním grafu kolem 1,0730, bez velkých změn. Technické nastavení naznačuje možný pokles, ale pro jeho potvrzení musíme prolomit pod minimum tohoto týdne 1,0655. Jsme pod mírně klesajícím klouzavým průměrem SMA 20, který je dynamickou rezistencí na 1,0820. SMA 100 roste nad neutrálním SMA 200, oba jsou pod aktuální hladinou. Technické indikátory míří do strany v negativní zóně. Na 4hodinovém grafu jsme se krátce dostali nad hladinu 61,8 % Fibonacciho retracementu (1,0745), ale uzavřeli jsme pod ní. Potenciál růstu je omezený. Jsme mezi neutrálními SMA 100 i SMA 200, které jsou nad aktuální hladinou. Momentový indikátor míří do strany v neutrální zóně, RSI míří dolů do negativní oblasti.
- 
				Denní analýza pro zlato 22.6.2023
				
 Zlato: Tato komodita na denním grafu nedokázala přilákat kupce a to i přes oslabení dolaru. Cena včera zahájila obchodní den pod klouzavým průměrem SMA 100, který je nyní dynamickou rezistencí na 1942,30, SMA 20 klesá nad ním. Momentový indikátor klesá v negativní zóně, RSI konsoliduje pod neutrální linií, což nenaznačuje vyčerpání prodejců. Na 4hodinovém grafu je očekávání medvědí. Jsme pod klouzavými průměry, SMA 20 se stáčí dolů pod SMA 100 i SMA 200. Technické indikátory jsou v negativní zóně a míří mírně vzhůru, ale nenaznačují další posílení.
- 
				Denní analýza pro zlato 25.4.2023
				
 Zlato: Tato komodita je na denním grafu pod hladinou 23,6 % Fibonacciho retracementu (1991,80), což je nejbližší rezistence. Nastavení je neutrální až lehce medvědí. Jsme pod neutrálním klouzavým průměrem SMA 20 a konsolidujeme těsně pod zmíněnou rezistencí. SMA 100 i SMA 200 rostou pod aktuální hladinou. Technické indikátory jsou neutrální. Momentový indikátor klesá, což značí absenci kupců. RSI míří do strany. Na 4hodinovém grafu je omezený býčí potenciál. Jsme pod SMA 20 a SMA 100, SMA 200 roste pod aktuální hladinou. Technické indikátory mírně rostou v negativní zóně a nejsou schopny potvrdit růst.
- 
				Denní analýza pro zlato 28.3.2022
				
 Zlato: Tato komodita na denním grafu nedokázala uzavřít nad hladinou 1961, což je hladina 38,2 % Fibonacciho retracementu. Prodejci pak převzali kontrolu a cena klesla pod denní klouzavý průměr SMA 21 (1954). Další důležitý support je hladina 23,6 % Fibonacciho retracementu na 1935. Jeho prolomení by mohlo vyvolat oslabení k minimu minulého týdne na 1910. Další support je u 1895, což koresponduje s rostoucím SMA 50 a s minimem ze 16. března. Na druhé straně při překonání zmíněné rezistence 1961 bychom mohli otestovat maxima minulého týdne na 1966. Další cíl je pak hladina 1970 a poté hladina 50 % Fibonacciho retracementu u 1982.
- 
				Denní analýza pro zlato 4.4.2023
				
 Zlato: Tato komodita je na denním grafu v převaze kupujících. Cena včera otevřela gapem a po krátké korekci rostla a je nyní kolem 1990. Technické indikátory jsou v pozitivní oblasti a rostou po korekci z překoupené zóny. Klouzavý průměr SMA 20 je nad SMA 100 i SMA 200, všechny míří vzhůru. Na 4hodinovém grafu je očekávání býčí. Technické indikátory míří vzhůru v pozitivní zóně, což značí sílu kupců. Jsme nad všemi klouzavými průměry, SMA 20 je neutrální kolem 1971, což je nejbližší support. SMA 100 i SMA 200 rostou daleko pod ním. V březnu cena dosáhla úrovně 2009,11 a nyní bychom mohli tuto hladinu opět testovat.
- 
				Denní objemy na forexu se v lednu zvýšily
				
 Denní objem na forexovém trhu rostl v lednu téměř o 400 miliard USD, především díky nárůstu volatility kvůli...
- 
				Denní tradingová analýza AUD//USD
				
 AUD/USD: Tento měnový pár je na 1hodinovém grafu v dlouhodobém rostoucím trendu a krátkodobě jsme také v rostoucím trendu. Cena je u důležité rezistence 0,6870. Nyní bychom mohli korigovat k hladině 0,6840, ale v delším horizontu mají kupci cíl hladinu 0,6900. Dokud jsme nad hladinou 0,6840, mohli bychom hledat long příležitosti.
- 
				Denní tradingová analýza AUD/USD
				
 AUD/USD: Tento měnový pár je na 1hodinovém grafu v dlouhodobém rostoucím trendovém kanálu, krátkodobě jsme v rostoucím klínu. Cena otestovala hladinu 0,6530. Nyní bychom mohli růst k hladině 0,6585, kde by mohl stoupnout prodejní tlak. Mohli bychom obchodovat do strany s mírnou převahou kupců až do proražení pásma 0,6520 – 0,6590, které naznačí další směr. Dokud jsme nad hladinou 0,6500, mohli bychom hledat long příležitosti.
- 
				Denní tradingová analýza AUD/USD, EUR/USD a EUR/JPY
				
 EUR/USD: Tento měnový pár je na 1hodinovém grafu v dlouhodobém klesajícím klínu, krátkodobě jsme v klesajícím trendovém kanálu. Cena konsoliduje v pásmu 1,0860 – 1,0880. Nyní bychom mohli obchodovat do strany s mírnou převahou prodejců s cílem na 1,0840. Dokud jsme pod hladinou 1,0920, mohli bychom hledat short příležitosti.
- 
				Denní tradingová analýza bitcoinu a EUR/USD
				
 Bitcoin (BTC/USD): Tato kryptoměna je na 1hodinovém grafu v dlouhodobém rostoucím trendu, krátkodobě jsme v rostoucím trendu. Cena je neutrální v pásmu 35200 – 38000 a jeho proražení naznačí další směr. Nyní bychom mohli od hladiny 36000 růst k 36900 a pak se pohybovat do strany s mírnou převahou kupců. Dokud jsme nad hladinou 35000, mohli bychom hledat long příležitosti.
- 
				Denní tradingová analýza EUR/USD
				
 EUR/USD: Tento měnový pár je na 30minutovém grafu v klesajícím trendu již několik hodin. Vytvořila se formace Engulfing (pohlcení) a cena by mohla klesat. Blížící se fundamentální zprávy by neměly tento časový rámec ovlivnit. Někteří obchodníci by mohli v pátek uzavírat pozice, což by mohlo dostat cenu dále pod tlak.
- 
				Denní tradingová analýza EUR/USD, AUD/USD a USD/CHF
				
 USD/CHF: Tento měnový pár je na 1hodinovém grafu v dlouhodobém pohybu do strany, krátkodobě jsme v rostoucím trendovém kanálu. Cena vytvořila rostoucí kanál. Nyní bychom mohli obchodovat do strany s mírnou převahou kupců s cílem na 0,9040. Dokud jsme nad hladinou 0,8980, mohli bychom hledat long příležitosti.
- 
				Denní tradingová analýza EUR/USD, AUD/USD a USD/CHF
				
 USD/CHF: Tento měnový pár je na 1hodinovém grafu v dlouhodobém klesajícím trendovém kanálu, krátkodobě jsme v klesajícím trendu. Cena našla support na 0,8880 a mohli bychom se zde odrazit. Jeho prolomení by otevřelo cestu k hladině 0,8850. Pouze jasné proražení nad 0,8960 by přerušilo medvědí trend. Dokud jsme pod hladinou 0,8960, mohli bychom hledat short příležitosti.
- 
				Denní tradingová analýza EUR/USD a USD/JPY
				
 EUR/USD: Tento měnový pár je na 1hodinovém grafu v dlouhodobém rostoucím trendovém kanálu, krátkodobě jsme v rostoucím trendovém kanálu. Cena klesla z hladiny 1,0600, ale medvědí impulz zeslábl. Nyní bychom mohli opět otestovat hladinu 1,0600 a její prolomení by otevřelo cestu k hladině 1,0620. Dokud jsme nad hladinou 1,0530, mohli bychom hledat long příležitosti.
- 
				Denní tradingová analýza EUR/USD, EUR/JPY a USD/CHF
				
 EUR/USD: Tento měnový pár je na 1hodinovém grafu v dlouhodobém klesajícím trendovém kanálu, krátkodobě jsme v klesajícím trendu. Cena klesla z 1,0880, ale zůstala nad důležitou hladinou 1,0845. Nyní bychom mohli opět růst k hladině 1,0880 a pak oslabit. Dokud jsme pod hladinou 1,0930, mohli bychom hledat short příležitosti.




